Chap 21: Bắt được
Vào đúng sáu giờ chiều hôm đó, Shinobu lại tiếp tục đi ăn. Cô ăn uống rất rất là thản nhiên mà không biết rằng có một tên luỵ tình nào đó đang theo dõi.
"_Ái chà chà, Shinobu hôm nay thật duyên dáng_".
"_Nếu như ta chia đôi cô ấy và tên giáo viên khó ưa kia ra thì thật tuyệt_".
Núp lùm trong đám người và cây ở đằng xa kia là tên Douma - người đem trọn cả trái tim để yêu bạn gái của Giyuu.
Shinobu ăn xong thì lại tiếp tục rảo bước đến những nơi khác có khá nhiều người. Douma cũng chầm chậm bước theo "nữ thần" của mình. Vừa đi, Douma vừa chụp lấy những góc nghiêng đẹp tuyệt vời của Shinobu và luôn miệng khen như thể từ mai hắn sẽ không được sống nữa.
Rất bất ngờ, Shinobu quay lưng lại về phía Douma. Hắn ta cũng giật mình và làm bộ rẽ đi nơi khác.
"Shinobu cũng thật biết đề phòng". Douma thầm nghĩ rồi nhẹ cười.
Đứng đó một hồi lâu thì Shinobu bị một quầy bán kẹp tóc thu hút ánh nhìn. Shinobu không còn bận tâm gì về đằng sau của mình mà hí hửng chạy lại bên quầy hàng kia.
Đứng xem một hồi lâu, Shinobu chọn cho mình một chiếc kẹp bướm đáng yêu để dành tặng cho Kanao cũng đáng yêu như chiếc kẹp bướm.
Sau khi rời khỏi quầy bán kẹp tóc, Shinobu cứ như một đứa trẻ, tung tăng đi khắp nơi trong khu chợ.
Douma cũng đã giữ lại được cái sự bình tĩnh của bản thân để tiếp tục lưu giữ những hình ảnh Shinobu đó. Hắn ta lẽo đẽo theo sau Shinobu mà không biết mệt là gì.
Cứ như vậy đã được một tiếng trôi qua. Quan sát bộ dạng của Shinobu cũng gần như mệt nhoài người. Những bước chân của cô dần chậm lại.
"Sao vậy? Em mệt rồi hả, Shinobu?". Douma đưa điện thoại lên và chụp một tấm.
Shinobu đến một ngã ba vắng bóng người thì có cuộc điện thoại đến. Theo lẽ thường thì cô sẽ trả lời cuộc gọi đó nhưng sao lần này lại bỏ đi.
"_Kì lạ thật đấy_". Douma có cảm giác lạnh sống lưng nhưng hắn vẫn quyết định đi tiếp.
Đến một nơi gần như chỉ có mỗi ánh đèn, những ngôi nhà nằm san sát nhau và từng khóm hồng thì Douma bắt đầu tiến về phía Shinobu với x, y là độ dài bước chân, tốc độ của Shinobu và 1.8x, 1.2y là độ dài bước chân và tốc độ của Douma. [Cho mình làm màu một chút nha:))))]
Nghe tiếng bước chân, Shinobu theo phản xạ mà quay lại. Ngay lúc đó, Douma ôm chầm lấy Shinobu.
"_Shinobu à. Anh yêu em. Em sẽ đồng ý chứ_".
"_Hả? Không bao giờ ta làm người yêu của ngươi đâu Douma_".
Đối mặt với lời từ chối thẳng thừng như thế, Douma vẫn còn có thể đứng vững được. Hắn buông cô ra và nắm chặt hai bên vai.
"_Tại sao? So với tên giáo viên Tomioka đó thì anh là tốt nhất mà? Hay là hắn ta đã yểm bùa chú gì lên người em rồi?_".
"_Tránh xa ta ra tên điên này. Ta đã nói rồi, Ta không thích hay có cảm nhận tốt gì về ngươi cả_".
Douma đã không chịu được nữa. Hắn ta chuẩn bị cúi xuống và hôn lên đôi môi của Shinobu thì từ xa có một bóng người cao cao chạy nhanh đến rồi kéo Shinobu vào trong lòng.
"_Aizzz, lại là tên nào nữa vậy?_".Shinobu nhăn mặt nói lớn.
"_Em nên yên lặng một chút đi Shinobu_".
Chẳng xa lạ gì, đó là Giyuu yêu quý của Shinobu.
"_Cậu nên tự thú đi còn không thì tôi sẽ báo với công an là cậu làm phiền gái nhà lành đấy_".
Tham gia trò chơi này hoá ra không chỉ có vỏn vẹn hai người là Giyuu và Shinobu. Mitsuri vì muốn giúp đỡ Shinobu nên đã tình nguyện. Còn Iguro tham gia là vì muốn đảm bảo an toàn cho Mitsuri cũng như là bạn gái anh.
Trên tay Mitsuri còn xuất hiện cả một chiếc điện thoại Xiaomi Poco X3 mới mua dùng để quay toàn bộ sự việc xảy ra.
Bị dồn đến đường cùng, Douma không còn đường thoát nên hắn bỏ chạy thật nhanh về nhà.
Sáng hôm sau, mọi người nhận được thông báo rằng Douma đã lên chuyến bay từ khuya hôm qua để đến nơi khác. Tin đồn cũng chìm vào quá khứ mà chẳng còn ai tin nó là sự thật. Shinobu ôm chầm lấy Giyuu, trao nhẹ một nụ hôn lên má anh nhưng không ai có thể thấy được.
Nhìn hình ảnh Shinobu bước vào cổng trường, Giyuu sờ nhẹ lên nơi mà Shinobu đã hôn. Anh chỉ cười nhưng có lẽ nếu không nể mặt học sinh với các giáo viên khác thì anh sẽ rất hạnh phúc đến nhảy cẫng lên mà vui sướng.
_________________________________
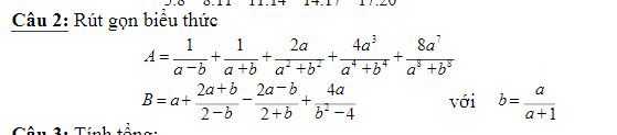
Nhân tiện mọi người có thể giúp mình bài này được không? Cô dạy HSG của mình cho bài này mình hơi khó hiểu. Nếu ai có thể giúp mình được thì khi truyện này hoàn thành, mình sẽ viết một câu chuyện ngắn về couple mà người đó thích để cảm ơn. Mình sẽ nhận ba bài đầu tiên. Vậy nhé, mời các cao nhân!

Bạn đang đọc truyện trên: truyentop.pro